 |
地? 址: |
天津經濟技術開發區第四大街80號天大科技園C6樓301-304室 |
電? 話: |
022-65378550 |
傳? 真: |
022-25329655 |
Email: |
|
QQ: |
|
微信: |
Alta-Scientific |
 |
|
|
包裝規格
Size |
價格 (元)
Price (¥) |
庫存信息
Availability |
品牌 Brand |
| NA |
NA |
NA |
NA |
|
產品號/Catalog# |
1ST1732C16 |
CAS#: |
2483735-57-3 |
MDL#: |
NA |
產品名稱: |
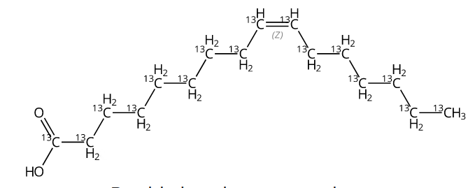
十六碳烯酸(順-9)-13C16 |
Product Name: |
cis-9-Hexadecenoic acid-13C16 |
縮寫/Symbol: |
NA |
分子式/Formula: |
13C16H30O2 |
分子量/MW: |
270.29 |
形態/Form: |
NA |
顏色/Color: |
NA |
純度/Purity (%): |
98+% |
濃度/Concentration: |
NA |
熔點/mp (°C): |
NA |
沸點/bp (°C): |
NA |
閃點/fp (°C): |
NA |
比重/Density(g/ml): |
NA |
儲藏條件/Storage: |
-80°C±5°C |
運輸條件/Transportation: |
NA |
中文同義名: |
NA |
Synonyms: |
9-Hexadecenoic-1,2,3,4,5,6,7,8,9,10,11,12,13,14,15,16-13C16 acid, (9Z)- |
附加信息 Additional Information: |
NA |
MSDS |
產品質量規格書 Specification
|
|
|
|