地? 址: |
天津經濟技術開發區第四大街80號天大科技園C6樓301-304室 |
電? 話: |
022-65378550 |
傳? 真: |
022-25329655 |
Email: |
|
QQ: |
|
微信: |
Alta-Scientific |
 |
|
|
包裝規格
Size |
價格 (元)
Price (¥) |
庫存信息
Availability |
品牌 Brand |
| NA |
NA |
NA |
NA |
|
產品號/Catalog# |
1ST14570 |
CAS#: |
1370003-76-1 |
MDL#: |
NA |
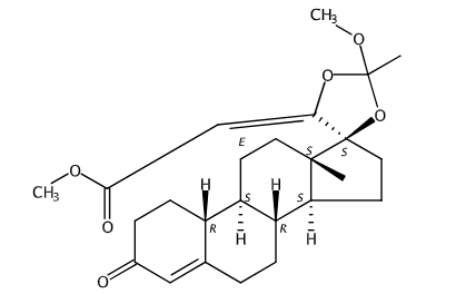
產品名稱: |
YK-11 |
Product Name: |
YK-11 |
縮寫/Symbol: |
NA |
分子式/Formula: |
C25H34O6 |
分子量/MW: |
430.53 |
形態/Form: |
NA |
顏色/Color: |
NA |
純度/Purity (%): |
98+% |
濃度/Concentration: |
NA |
熔點/mp (°C): |
NA |
沸點/bp (°C): |
NA |
閃點/fp (°C): |
NA |
比重/Density(g/ml): |
NA |
儲藏條件/Storage: |
-20°C±5°C |
運輸條件/Transportation: |
NA |
中文同義名: |
NA |
Synonyms: |
19-Norpregna-4,20-diene-21-carboxylic acid, 17,20-[(1-methoxyethylidene)bis(oxy)]-3-oxo-, methyl ester, (17α,20E)-; Methyl (2E)-2-[(8R,9S,10R,13S,14S,17S)-2'-methoxy-2',13-dimethyl-3-oxospiro[1,2,6,7,8,9,10,11,12,14,15,16-dodecahydrocyclopenta[a]phenanthrene-17,5'-1,3-dioxolane]-4'-ylidene]acetate |
附加信息 Additional Information: |
NA |
MSDS |
產品質量規格書 Specification
|
|
|
|