地? 址: |
天津經濟技術開發區第四大街80號天大科技園C6樓301-304室 |
電? 話: |
022-65378550 |
傳? 真: |
022-25329655 |
Email: |
|
QQ: |
|
微信: |
Alta-Scientific |
 |
|
|
包裝規格
Size |
價格 (元)
Price (¥) |
庫存信息
Availability |
品牌 Brand |
| NA |
NA |
NA |
NA |
|
產品號/Catalog# |
1ST20631 |
CAS#: |
187166-40-1 |
MDL#: |
NA |
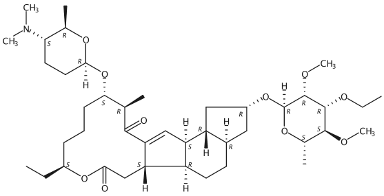
產品名稱: |
乙基多殺菌素 J |
Product Name: |
Spinetoram J |
縮寫/Symbol: |
NA |
分子式/Formula: |
C42H69NO10 |
分子量/MW: |
748.00 |
形態/Form: |
固體/Solid |
顏色/Color: |
白色/White |
純度/Purity (%): |
98+% |
濃度/Concentration: |
NA |
熔點/mp (°C): |
NA |
沸點/bp (°C): |
803.5±65.0°C |
閃點/fp (°C): |
NA |
比重/Density(g/ml): |
NA |
儲藏條件/Storage: |
-20°C±5°C |
運輸條件/Transportation: |
冰袋運輸 |
中文同義名: |
NA |
Synonyms: |
1H-as-Indaceno[3,2-d]oxacyclododecin-7,15-dione, 2-[(6-deoxy-3-O-ethyl-2,4-di-O-methyl-α-L-mannopyranosyl)oxy]-13-[[(2R,5S,6R)-5-(dimethylamino)tetrahydro-6-methyl-2H-pyran-2-yl]oxy]-9-ethyl-2,3,3a,4,5,5a,5b,6,9,10,11,12,13,14,16a,16b-hexadecahydro-14-methyl-, [2R-(2R*,3aR*,5aR*,5bS*,9S*,13S*,14R*,16aS*,16bR*)]-; (2R,3aR,5aR,5bS,9S,13S,14R,16aS,16bR)-2-[(6-Deoxy-3-O-ethyl-2,4-di-O-methyl-α-L-mannopyranosyl)oxy]-13-[[(2R,5S,6R)-5-(dimethylamino)tetrahydro-6-methyl-2H-pyran-2-yl]oxy]-9-ethyl-2,3,3a,4,5,5a,5b,6,9,10,11,12,13,14,16a,16b-hexadecahydro-14-methyl-1H-as-indaceno[3,2-d]oxacyclododecin-7,15-dione; DE 175J |
附加信息 Additional Information: |
NA |
MSDS |
產品質量規格書 Specification
|
|
|
相關產品
產品號 |
產品名稱 |
Product Name |
CAS# |
|
6種農藥混標溶液(NYT 4184-2022-B),100μg/mL |
6 Pesticide Mix Solution, 100μg/mL |
NA |
|
81種農藥混標溶液(GB23200.121-2021-E),10μg/mL |
81 Pesticide Mix Solution, 10μg/mL |
NA |
|